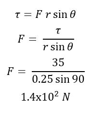
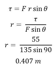
اذا تطلب تدوير جسم عزما مقداره





اذا تطلب تدوير جسم عزما مقداره 55 0 N M في حين كانت اكبر قوة يمكن ادعمني دوت كوم

اذا تطلب تدوير جسم عزما مقداره 55 0 N M في حين كانت اكبر قوة يمكن ادعمني دوت كوم

حل المسائل التدريبية لدرس ديناميكا الحركة الدورانية الجزء الأول العلم نور

حل المسائل التدريبية لدرس ديناميكا الحركة الدورانية الجزء الأول العلم نور

حل المسائل التدريبية لدرس ديناميكا الحركة الدورانية الجزء الأول العلم نور

حل المسائل التدريبية لدرس ديناميكا الحركة الدورانية الجزء الأول العلم نور

يتطلب شد برغي عزما مقداره 8 0n M فإذا كان لديك مفتاح شد طوله 0 35m ادعمني دوت كوم

يتطلب شد برغي عزما مقداره 8 0n M فإذا كان لديك مفتاح شد طوله 0 35m ادعمني دوت كوم

الحركة الدورانية ص8 المصدر السعودي

الحركة الدورانية ص8 المصدر السعودي

فيزياء الحركة الدورانية Rotational Motion ديناميكا الحركة الدورانية م12 Youtube

فيزياء الحركة الدورانية Rotational Motion ديناميكا الحركة الدورانية م12 Youtube

فيزياء الحركة الدورانية Rotational Motion ديناميكا الحركة الدورانية م12 Youtube

إذا تطلب تدوير جسم عزما مقدارها 55 0 N M في حين كانت المكتبة التعليمية

إذا تطلب تدوير جسم عزما مقدارها 55 0 N M في حين كانت المكتبة التعليمية

ديناميكا الحركة الدورانية درس الحركة الدورانية المستوى الرابع فيزياء الفصل الثاني

ديناميكا الحركة الدورانية درس الحركة الدورانية المستوى الرابع فيزياء الفصل الثاني

حل المسائل التدريبية لدرس ديناميكا الحركة الدورانية الجزء الأول العلم نور

حل المسائل التدريبية لدرس ديناميكا الحركة الدورانية الجزء الأول العلم نور

الحركة الدورانية ص8 المصدر السعودي

الحركة الدورانية ص8 المصدر السعودي

حل كتاب الفيزياء ثاني ثانوي مقررات كتاب الفيزياء 2 مقررات 1441 Pdf

حل كتاب الفيزياء ثاني ثانوي مقررات كتاب الفيزياء 2 مقررات 1441 Pdf

ديناميكا الحركة الدورانية Rotational Dynamics Ppt Katebasma

ديناميكا الحركة الدورانية Rotational Dynamics Ppt Katebasma

حل كتاب الفيزياء ثاني ثانوي مقررات كتاب الفيزياء 2 مقررات 1441 Pdf

حل كتاب الفيزياء ثاني ثانوي مقررات كتاب الفيزياء 2 مقررات 1441 Pdf

اذا تطلب تدوير جسم عزما مقداره ٥٥ ٠

اذا تطلب تدوير جسم عزما مقداره ٥٥ ٠

ديناميكا الحركة الدورانية Rotational Dynamics Ppt Katebasma

ديناميكا الحركة الدورانية Rotational Dynamics Ppt Katebasma

حل المسائل التدريبية لدرس ديناميكا الحركة الدورانية الجزء الأول العلم نور

حل المسائل التدريبية لدرس ديناميكا الحركة الدورانية الجزء الأول العلم نور

2

2

سؤال 11 الحركة الدروانية فيزياء الصف الثاني الثانوي درس ديناميكا الحركة الدورانية Youtube

سؤال 11 الحركة الدروانية فيزياء الصف الثاني الثانوي درس ديناميكا الحركة الدورانية Youtube

حل درس ديناميكا الحركة الدورانية فيزياء ثاني ثانوي ف1 المصدر

حل درس ديناميكا الحركة الدورانية فيزياء ثاني ثانوي ف1 المصدر

Novagilr

Novagilr

Source : pinterest.com